科研成果

首页 -- 科学研究 -- 科研成果 -- 正文

张剑教授课题组在《心理学报》发表研究成果
发布时间:2021-10-13        阅读量:

左侧背外侧前额叶在程序性运动学习中的作用

程序性运动学习是指通过重复执行运动任务,借助骨骼、肌肉以及相应的神经反射获得新知识的过程。根据学习内容呈现顺序的不同可将其分为序列学习和随机学习两种形式, 其中序列学习通过一系列不断重复的、固定长度的序列循环呈现而发生学习(杨光, 2014), 随机学习则是在无序的呈现中实现学习的过程(Pascual-Leone, Wassermann, Grafman,& Hallett, 1996)。程序性运动学习不仅是人类日常活动的重要组成部分, 更是运动技能习得的重要方式(Clegg, Digirolamo, & Keele, 1998)神经影像学研究表明背外侧前额叶皮层(DLPFC)和初级运动皮层(M1)在程序性运动学习中发挥重要作用, DLPFC M1 之间的联通性及其与不同程序性运动学习的关系尚不明确。  

本研究采用连续反应时间任务, 结合经颅磁刺激(TMS)方法, 探讨左侧 DLPFC M1 的联通性在不同程序性运动学习中的差异。44 名被试参加了本研究一项或多项实验。 21名被试(7 名女性)参与了实验 1, 平均年龄 21.10 ±1.97 ; 40 名被试(15 名女性)参与了实验 2, 平均年 21.75 ± 1.74 岁。两项实验间隔 2 周以上保证无实验后效影响。  

实验 1 采用两连发 TMS 探测 DLPFC M1 的最佳投射时间点; 实验 2, 被试分为 2 , 别进行序列学习和随机学习, 在学习前、后采集行为学数据, 以及 M1 的运动诱发电位和 DLPFC-M1 联通性的电生理学数据。  

1  (A)实验2 流程图; (B)运动学习任务(连续反应时任务)显示图

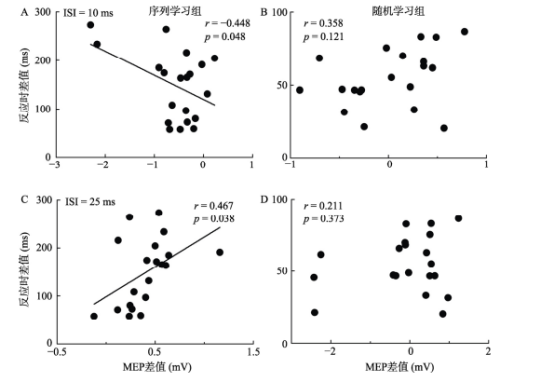
行为学结果发现序列学习组的学习效果更佳; 电生理学结果发现, 两组被试学习前、后 M1 的运动诱发电位均未发生改变; 在最佳时间投射点、适当刺激强度下, 序列学习组 DLPFC-M1 联通性发生改变, 且与学习成绩相关, 而随机学习组没有改变。结果说明 DLPFC M1 的联通性增强可能是序列学习成绩更佳的重要原因, 一结果从电生理角度为 DLPFC 在运动学习中的作用提供了重要证据。  

2 行为数据(反应时)与生理数据(MEP)的相关

  本研究通过连续反应时任务和经颅磁刺激法的结合对左侧背外侧前额叶在程序性运动学习中的作用进行探究, 行为学结果发现序列学习组的学习效果更佳; 电生理学结果发现, 两组学习前、后M1 的运动诱发电位均未发生改变; 在最佳时间投射点、 适当刺激强度下, 序列学习组 DLPFC-M1 联通性发生改变, 且与学习成绩相关, 而随机学习组没有改变。结果表明, DLPFC M1 间联通性的增强可能是序列学习成绩更佳的重要原因, 这一研究从电生理角度为 DLPFC 在运动学习中的作用提供了重要证据。  

该研究已在心理学权威期刊《心理学报》上发表。上海体育学院今年会jinnianhuicom硕士研究生曹娜为第一作者,通讯作者为上海体育学院今年会jinnianhuicom张剑教授。  

论文信息:

曹娜,孟海江,王艳秋,邱方晖,谭晓缨,吴殷,张剑.左侧背外侧前额叶在程序性运动学习中的作用[J].心理学报,2020,52(05):597-608.  

Copyright © 中国·今年会 -www.jinnianhuicom.com|官方网站   沪ICP备号